Soluzione primo quesito maturità scientifica 2015

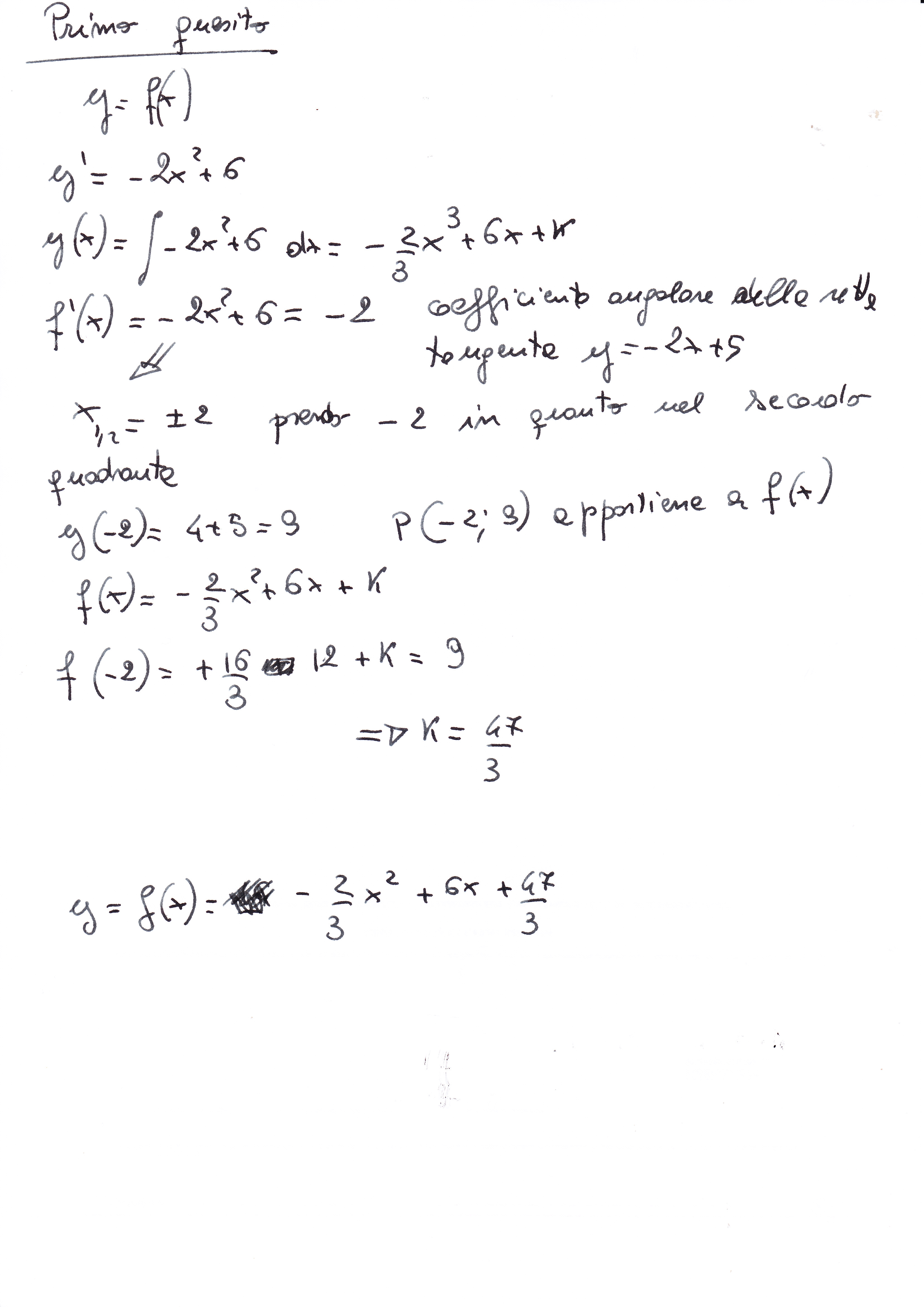
IMG_0002Determinare la f(x) sapendo che la retta tangente al secondo quadrante ha equazione y=-2x+5 e la derivata prima è y’=-2x^2+6.

E’ sufficiente calcolare l’integrale e capire l’importanza del coefficiente angolare della retta tangente.

 

Questa voce è stata pubblicata in Senza categoria. Contrassegna il permalink.

Lascia un commento

Il tuo indirizzo email non sarà pubblicato. I campi obbligatori sono contrassegnati *