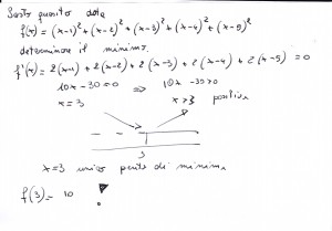
Direi veramente molto facile. Semplicissima derivata prima e poi studio del segno di una semplice disequazione di primo grado.
Registrazione
Categorie
-
Articoli recenti
Commenti recenti
- admin su [:it]Problemi con i numeri relativi[:]
- Mihi su [:it]Problemi con i numeri relativi[:]
- Claudio su Ellisse: formula di sdoppiamento
- Alejandro Zarate su [:it]TPSIT: Test sulla teoria dell’informazione e codici[:]
- Francesco Bragadin su [:it]Raspberry – bridge wifi – ethernet[:]
Meta
Categorie
-
Articoli recenti
Commenti recenti
- admin su [:it]Problemi con i numeri relativi[:]
- Mihi su [:it]Problemi con i numeri relativi[:]
- Claudio su Ellisse: formula di sdoppiamento
- Alejandro Zarate su [:it]TPSIT: Test sulla teoria dell’informazione e codici[:]
- Francesco Bragadin su [:it]Raspberry – bridge wifi – ethernet[:]
Meta
